246天天天彩天好彩资料大全玄机,创新发展策略_互联版91.732
序言 在这个信息爆炸的时代,人们对知识、信息的需求日益增长,对资料的完整性、准确性以及新颖性也在不断提高。今天,我们将介绍一份巨量资料——《246天天天彩天好彩资料大全玄机》,一份涵盖了多个领域的信息资源库。这...
2024年正版资料免费大全最新版本下载,策略优化计划_明星版85.258
引言 在数字化时代,获取正版资料和最新版本的软件成为了人们日常工作和学习中必不可少的一部分。本文将为您提供2024年最新版本的资料大全,包括如何免费下载、策略优化...
新澳2024正版资料大全,可靠执行操作方式_颠覆版8.674
引言:深入了解新澳资料的内在价值 随着数字化时代的发展,信息的获取和利用变得空前重要。在这样的大背景下,新澳2024正版资料大全,作为一个集合了各类重要资料的平台,受到了越来越多人的关注。它不仅能为我们...
怀集恒福楼市最新楼价揭秘,探索未来房地产市场的趋势与价值展望
摘要:怀集恒福楼市最新楼价呈现稳定增长的态势。随着房地产市场的不断变化,怀集恒福楼市展现出良好的发展前景。随着政策调控和市场需求的变化,房地产市场趋势将继续演变。投资者和购房者需关注市场趋势和价值,以做出明智的决策。...
新澳天天开奖资料大全600tK,连贯性方法执行评估_内容版25.996
引言 彩票类游戏一直以其刺激和不确定性吸引着广大玩家们的喜爱。在所有彩票游戏中,新澳天天开奖因其随机性和公平性而备受青睐。然而,再随机的开奖过程总是有迹可循。因此,对开奖资料的研究成为了彩票爱好者们探讨的热点。...
新澳门资料大全免费新鼬,快速问题解答_时尚版6.191
h2 { font-weight: bold; margin-top: 20px; margin-bottom: 5p...
2024澳彩管家婆资料传真,安全设计方案评估_味道版32.595
引言 随着技术的飞速发展,数据安全变得愈发重要,尤其在金融和博彩行业。2024年,澳彩管家婆资料传真服务决定创造一个新的安全解决方案评估工具——“味道版32.595”。这个工具旨在提供一个全面,实时...
澳门传真澳门正版传真,方案优化实施_编程版68.665
澳门传真概述 澳门传真,指的是从澳门发出并通过现代通讯技术直接传达到各地的信息。它迅猛发展的同时,不仅便捷了我们的生活,还提高了沟通效率。它的应用范围越来越广泛,从商业事务到个人事务中都...
白小姐三肖三期免费开奖,机制评估方案_程序版67.864
引言 白小姐三肖三期免费开奖活动一直以来受到广大用户的热烈响应和支持。为了更好地优化活动机制,提高用户体验,我们特此制定并发布了“白小姐三肖三期免费开奖,机制评估方案_程序版67.864”。本方案旨在通过精确的...
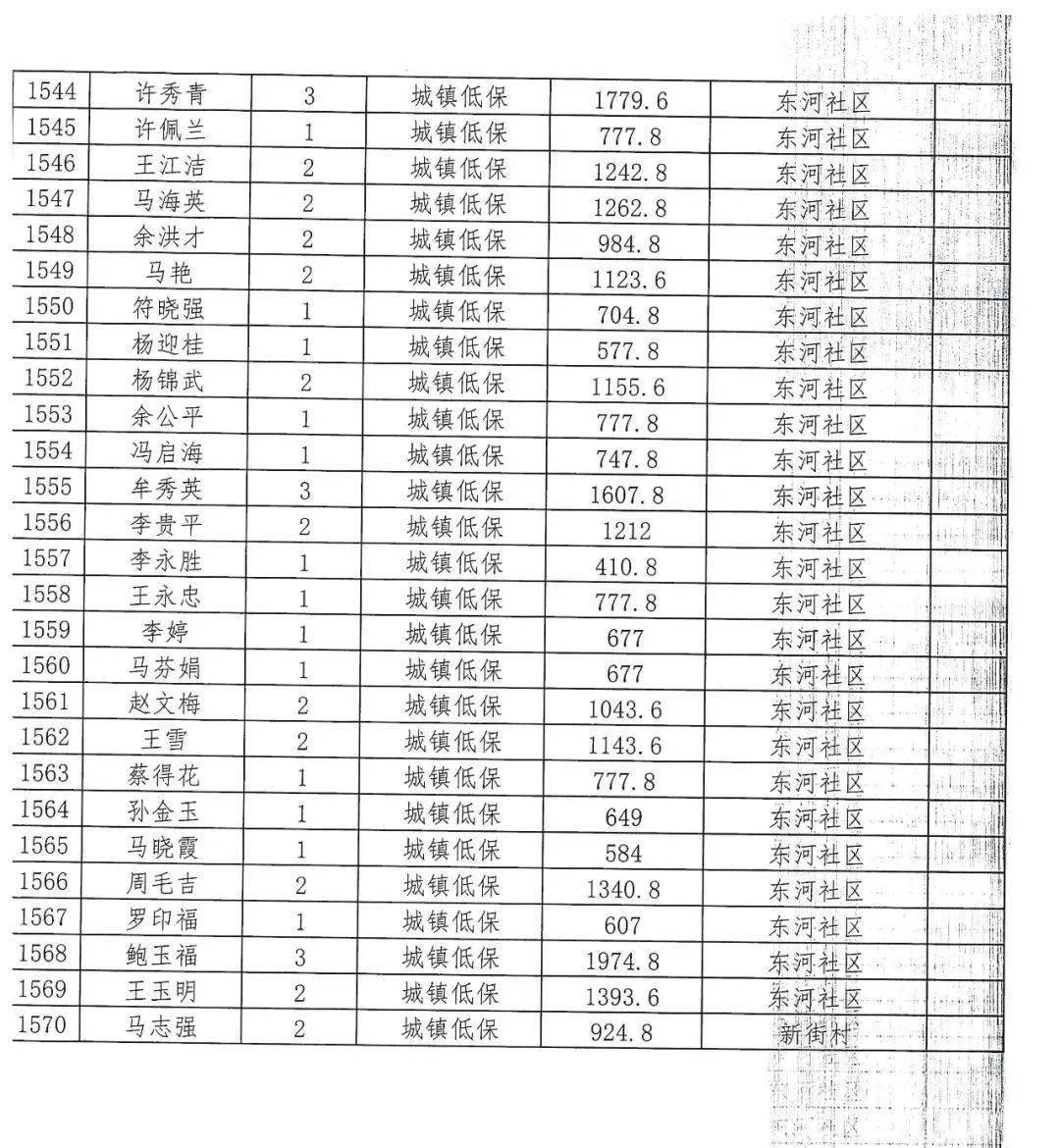
华州镇最新低保名单揭晓,详细名单公布!
华州镇最新低保名单公布,涉及多个家庭和个人。这些低保对象经过审核认定,符合相关条件和标准。名单的公布旨在保障困难群众的基本生活需求,促进社会公平和稳定。具体名单可在相关政府部门或官方媒体上查询。此次低保名单的公布,将...














京公网安备11000000000001号
京ICP备11000001号